티스토리 뷰
728x90
1. 로지스틱 회귀의 기본 개념
- 목적: 로지스틱 회귀는 입력 변수(독립 변수)를 사용하여 종속 변수(결과)가 특정 클래스(0 또는 1)에 속할 확률을 예측하는 것이다.
- 출력: 로지스틱 회귀는 특정 사건이 발생할 확률, 즉 종속 변수가 1이 될 확률을 출력한다. 이 확률을 사용해 종속 변수를 0 또는 1로 분류한다.
2. 로지스틱 회귀의 수학적 배경
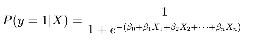
로지스틱 회귀의 핵심은 **시그모이드 함수(Sigmoid Function)**를 사용하는 것이다. 시그모이드 함수는 입력된 값이 어떤 범위에 있더라도 0과 1 사이의 값으로 변환해준다.
시그모이드 함수:

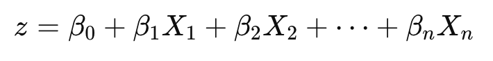
여기서 z는 선형 회귀식으로 표현된다:

즉, 로지스틱 회귀에서 예측 확률은 다음과 같이 표현된다:

3. 로지스틱 회귀의 해석
- 계수 해석: 각 독립 변수의 계수 βi\beta_i는 해당 변수의 변화가 종속 변수의 로그 오즈(Log-Odds)에 미치는 영향을 나타낸다.
- 로그 오즈(Log-Odds):

오즈 비율(Odds Ratio): 계수 βi\beta_i에 대한 오즈 비율은 eβie^{\beta_i}로 계산되며, 독립 변수 XiX_i가 1 증가할 때 종속 변수가 1일 오즈가 얼마나 변하는지를 나타낸다.
4. 로지스틱 회귀의 가정
- 독립 변수와 종속 변수 간의 선형 관계: 로그 오즈(Log-Odds)와 독립 변수들 사이에는 선형 관계가 있다고 가정한다.
- 독립 변수들 간의 독립성: 각 독립 변수는 종속 변수에 독립적으로 영향을 미쳐야 한다.
- 이항 분포: 종속 변수가 이항 분포를 따라야 한다.
5. 로지스틱 회귀의 평가 방법
- 정확도(Accuracy): 전체 데이터 중에서 모델이 올바르게 분류한 비율을 나타낸다.
- 정밀도(Precision)와 재현율(Recall): True Positive와 False Positive 간의 관계를 평가한다.
- AUC-ROC (Area Under the Curve - Receiver Operating Characteristic): 모델의 성능을 종합적으로 평가하는 데 사용된다.
6. 정규화 (Regularization)
로지스틱 회귀에서는 **L1 정규화(Lasso)**와 **L2 정규화(Ridge)**를 사용하여 과적합(Overfitting)을 방지할 수 있다.
- L1 정규화: 일부 계수를 0으로 만들어 변수 선택(Feature Selection) 역할을 한다.
- L2 정규화: 계수 크기를 줄여서 모델의 복잡성을 낮추고, 다중공선성 문제를 완화한다.
7. 로지스틱 회귀의 확장
- 다항 로지스틱 회귀(Multinomial Logistic Regression): 종속 변수가 3개 이상의 범주를 가질 때 사용된다.
- 순서형 로지스틱 회귀(Ordinal Logistic Regression): 종속 변수가 순서형인 경우 사용된다.
8. 로지스틱 회귀의 장점과 단점
장점:
- 해석이 용이하고, 출력이 확률 값이기 때문에 직관적이다.
- 계산이 빠르고, 비교적 단순한 모델로도 높은 성능을 낼 수 있다.
단점:
- 선형 관계를 가정하기 때문에 비선형 문제에 적합하지 않을 수 있다.
- 이상치(Outliers)에 민감하다.
728x90
250x250
공지사항
최근에 올라온 글
최근에 달린 댓글
- Total
- Today
- Yesterday
링크
TAG
- PROMISE
- ML
- 코랩 한글깨짐
- 로짓함수
- 프론트엔드
- 리액트
- 이벤트유효성
- dl
- 데이터옵션
- 인스턴스 옵션
- 사용자정의이벤트
- AI
- 인스턴스 구조
- 이벤트에미터
- NLP
- 자연어처리
- Await
- async
- 코랩 워드클라우드
- 리액트 폴더구조
- 컴포넌트간통신
- 사전학습모델
- defaultparameter
- KoELECTRA
- transformer
- gradientclipping
- 콜백callback
- 컴포넌트간데이터전달
- 인스턴스 생명주기
- 코랩 워드클라우드 한글깨짐
| 일 | 월 | 화 | 수 | 목 | 금 | 토 |
|---|---|---|---|---|---|---|
| 1 | 2 | 3 | 4 | 5 | 6 | 7 |
| 8 | 9 | 10 | 11 | 12 | 13 | 14 |
| 15 | 16 | 17 | 18 | 19 | 20 | 21 |
| 22 | 23 | 24 | 25 | 26 | 27 | 28 |
글 보관함